金屬(shu)在大氣中會自發進行氧化(hua)(hua)(hua),隨著溫度增高(gao),大氣中水分蒸發,濕腐蝕(shi)變成干腐蝕(shi),腐蝕(shi)更嚴重,在工(gong)業中成為重要問(wen)題。如高(gao)溫石油化(hua)(hua)(hua)工(gong)管道等(deng)都存在高(gao)溫氧化(hua)(hua)(hua)問(wen)題。在高(gao)溫下金屬(shu)表(biao)面(mian)產生一層氧化(hua)(hua)(hua)膜。Pilling和Bedworth曾指(zhi)出(chu),抗氧化(hua)(hua)(hua)性和氧化(hua)(hua)(hua)物(wu)與(yu)金屬(shu)的體積(ji)比(bi)有關。如用R表(biao)示單位(wei)體積(ji),則:

當R<1時,氧(yang)化物不(bu)能覆蓋(gai)金(jin)屬(shu)表面,因而沒有保(bao)護性(xing)(xing)(xing);當R>1時,氧(yang)化物中將產(chan)生較(jiao)大的(de)(de)應(ying)力(li),膜(mo)易破(po)裂脫落,保(bao)護性(xing)(xing)(xing)不(bu)好(hao)。理(li)想的(de)(de)比(bi)值應(ying)接(jie)近1。此外(wai),保(bao)護性(xing)(xing)(xing)高的(de)(de)膜(mo)還應(ying)具有高熔(rong)點,低蒸氣壓(ya),膨脹系(xi)(xi)數與(yu)金(jin)屬(shu)接(jie)近,良(liang)好(hao)的(de)(de)抗破(po)裂高溫塑性(xing)(xing)(xing),低電導率,對金(jin)屬(shu)離(li)子(zi)和氧(yang)的(de)(de)擴散系(xi)(xi)數低等。
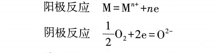
金屬(shu)的(de)(de)高溫氣體腐蝕也(ye)是(shi)一(yi)個電化(hua)學(xue)過(guo)程。如圖8.1.13所示。陽(yang)極(ji)(ji)反應(ying)是(shi)金屬(shu)離(li)(li)子化(hua),在(zai)膜-金屬(shu)界(jie)面發(fa)生(sheng);陰極(ji)(ji)反應(ying)是(shi)氧的(de)(de)離(li)(li)子化(hua),在(zai)膜-氣體界(jie)面發(fa)生(sheng)。電子和離(li)(li)子(金屬(shu)離(li)(li)子和氧離(li)(li)子)在(zai)膜中兩極(ji)(ji)之(zhi)間(jian)流動,它和水溶液中的(de)(de)腐蝕電池相似。


防止高溫氧化最有效的(de)方法是在(zai)基體金屬中(zhong)加入有效的(de)合金成(cheng)(cheng)分,使膜中(zhong)生成(cheng)(cheng)保護性很強的(de)二元或三元化合物,使離子擴散更為困難(nan),氧化速度因而下降(jiang)。

